近日,国产麻豆 林学专业2019级本科生田晓龙以第一作者身份在Industrial Crops and Products上发表题为“Structural changes and electrochemical properties of mesoporous activated carbon derived from Eucommia ulmoides wood tar by KOH activation for supercapacitor applications”的研究论文,揭示了杜仲热解木焦油在高温活化下炭材料介孔结构定向调控机制。朱铭强研究员为论文通讯作者。

图1 介孔炭工艺流程
杜仲( Eucommia ulmoides Oliver)为单科单属单种的资源植物,《全国杜仲产业发展规划(2016-2030)》到2030年杜仲叶林栽培面积预计推广至275万亩。杜仲叶林栽培可生产丰富的生物质资源(每年约3吨/亩),尤其是杜仲叶林木材组织致密、来源广、生物量大(每年约1.5吨/亩)。杜仲木材热解过程中会产生木炭、木燃气和木焦油,木焦油是一种棕黑色粘稠油状液体,具有特殊的烟熏味,其组成和理化性质复杂多变,热值低,大规模工业利用中存在障碍。本研究使用KOH作活化剂,分别采用一步活化法和两步活化法合成介孔炭(图1)。探究了木焦油在不同温度和物料比等条件下,炭产物孔隙结构的差异性。

图2 介孔炭的N2脱吸附曲线(a-b)和孔径分布(c-d)
研究表明,在试验温度及物料比梯度范围内,炭产物的比表面积(SSA)分别呈现单峰型格局,即SSA随温度或物料比的升高表现出先升高后降低的现象。在活化温度为800 ℃、物料比5:1的制备条件下,炭产物的SSA达到峰值,为3354.8 m2/g,且具备优异的孔隙结构(图2)。

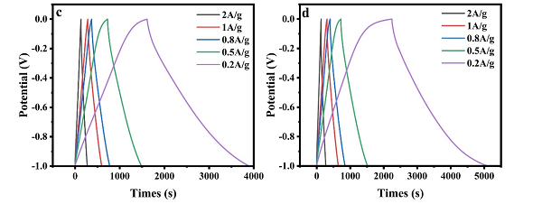
图3 介孔炭材料在不同电流密度下的GCD曲线
由介孔炭材料制成的工作电极,在三电极系统中进行恒流充放电试验。当电流密度为0.2 A /g时,介孔活性炭具有明显的双层电容行为,最大比电容为510.54 F/g(图3),且拥有良好的电化学稳定性。综上所述,本研究对生物基木焦油合成高性能介孔炭具有指导意义,拓展了农林废弃物高价值转化的有效途径。
该研究得到了国家林业和草原科技创新青年拔尖人才项目、国家自然科学基金、国家重点研发计划以及陕西省农业科技创新驱动项目的支持。
文章链接://doi.org/10.1016/j.indcrop.2023.116628
CopyRight 2021 版权所有:国产麻豆-麻豆视频-麻豆传媒 地址:陕西省杨凌区邰城路3号 邮编:712100 电话:029-87082230 传真:029-87082216 主管领导:李谱华 管理员:杨士同 技术支持:绿道软件